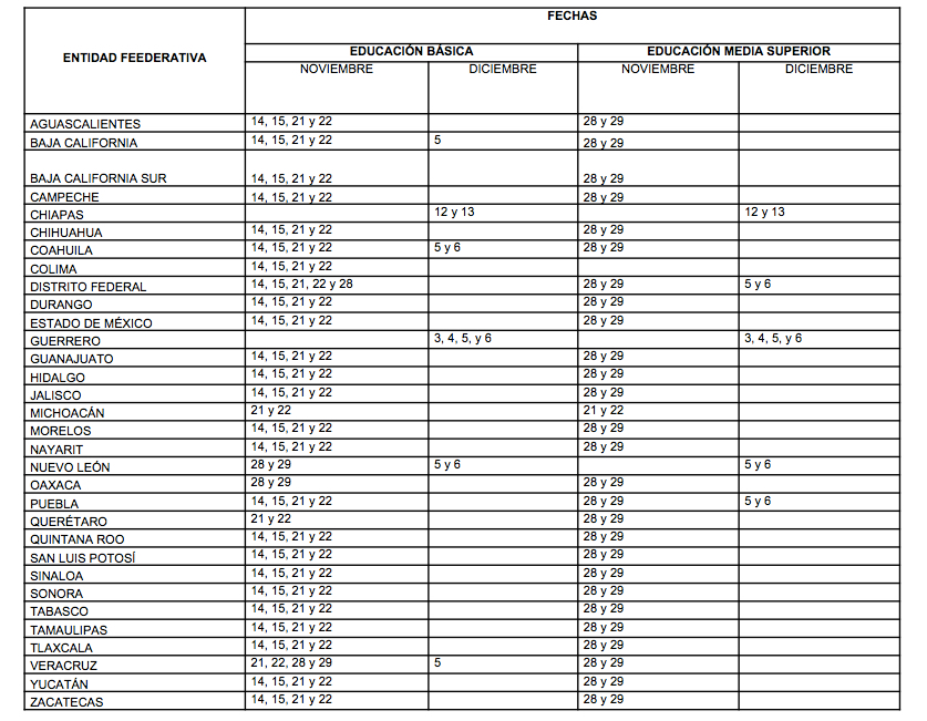
La Secretaría de Educación Pública dio a conocer el calendario para la Evaluación del Desempeño Docente.
Por la mañana, Aurelio Nuño afirmó que dicho calendario no tiene, ni tendrá cambios, la programación se realizó con base en razones logísticas y de seguridad.
Ante la prensa, el funcionario comentó que en estados como Michoacán, Chiapas, Guerrero y Oaxaca hay fechas distintas para tener la suficiente seguridad y garantizar el derecho de los maestros a ser evaluados.
Facebook Comentarios


